Canva's Blueprint for Hyper-Growth: From Startup to Design Powerhouse
Cracking Canva's Code: The Strategies Behind Its Meteoric Rise
đWelcome to The Growth Pulse!
Fascinated by what makes certain products become irreplaceable in our lives? Me too! Each month, I dive deep into growth strategies of successful companies, uncovering the hidden patterns and decisions that drove their success. Through the MOAT framework, I break down exactly how they did it - and what we can learn from their journey.
Today, we're diving deep into Canva, the design platform that has revolutionized the way we create visual content.
For those of you interested in the romantic story of how Canva got started, where the idea came from, how they raised capital, etc, hereâs a quick summary of how Canva came to be:
Canva was founded in Australia in 2006 by Melanie Perkins and Cliff Obrecht
Melanie was a design teacher at the University of Western Australia who thought existing design tools were overly complex and intimidating for non-designers.
Her frustration sparked a vision: to create an online, collaborative, and user-friendly design tool accessible to everyone.
To test their idea, Melanie and co-founder Cliff Obrecht developed an MVP that they called Fusion Books, that allowed students and schools to create yearbooks using drag-and-drop functionality and customizable templates.
After a rocky start and multiple rejections from VCâs, Melanie and Cliff met Bill Tai in 2011, a Silicon Valley investor and raised $3M USD in 2012 to launch Canva.
For more details on the company history, I strongly recommend reading this article by Jaryd Hermann.
In hindsight, analyzing the key to Canvaâs success is very simple â the product is amazing, it disrupted an entire industry, and people needed a solution like it â however, none of these wouldâve been possible without the extraordinary execution and strategic vision from the team in the early days.
So, what is it that Canva got right? And what strategies have they implemented that enabled them to achieve unprecedented growth.
Canvaâs success is no accidentâitâs the result of deliberate, strategic choices that propelled it from a bold idea to an industry leader. By analyzing Canvaâs growth through the MOAT frameworkâMarket Strategy, Ocean Conditions, Audience, and Time to Valueâwe uncover the precise elements of their strategy that disrupted the design industry, captured underserved audiences, and created a seamless experience. Letâs dive into each component to understand how Canva built its blueprint for hyper-growth.
1. Market Strategy: Disruptive Innovation
Canvaâs market strategy exemplifies Clay Christensen's theory of disruptive innovation. They entered the market with what some might label an "inferior" product at a lower price, compared to Adobe's feature-rich Design Suite. However, this seemingly modest offering was a deliberate and highly strategic move. Instead of competing head-to-head with Adobe on advanced functionality, Canva focused on creating a streamlined solution tailored specifically to the needs of casual designers.
"A disruptive innovation isâŚa [product] or [service]âŚthat is unattractive to the established leaders on an industry"
Clay Christensen
Product Development: Simplicity and Accessibility
The Canva team recognized that their âinferiorâ product's success hinged on making design accessible, intuitive, and approachable for everyone. While this concept appears straightforward, executing it effectively is anything but simple. Success for these users meant creating designs that not only looked professional but also instilled a sense of pride when used for business promotion or communication.
To achieve this, Canva provided a vast and ever-growing library of templates, fonts, photography, videos, stickers, elements, and other assets, enabling users to dive into designing without hesitation. Their browser-based platform further simplified access by removing the need for complex software installation, while their intuitive drag-and-drop interface and template-first approach made design both quick and enjoyable.
Messaging and Positioning: Empowering Users Through Clear Communication
Melanie Perkins and her team deeply understood the marketâs key problemâdesign solutions were available only to pros. Canvaâs messaging centered around the idea of empowering users with minimal design skills to create professional-quality designs. Their website, CTAs, and marketing materials consistently conveyed this simplicity, inspiring users to get started confidently.
Understanding the problem in depth allowed Melanie and Cliff to paint a clear vision for their product: âwe will create a world where people with an eye for design can express their vision in their professional and personal livesâ â note how the vision of the product does not mention designers at all. Melanie and Cliff understood that their success depended on them being able to create a tool so simple to use that any person (creative or not) could use to express their ideas.
This vision comes across everything Canva does, from the very beginning of its days â this is what the initial website looked like when Canva was launched in a private beta. Note the simplicity of the design and the clear messaging, completely different from Adobeâs focus on professional designers.
Canvaâs messaging and positioning has remained consistent throughout the years, and itâs a clear representation of how the company understands the fears and concerns of its users â to see an evolution of Canvaâs homepage and web experience, check out this post from Gallantway. An example of this is the main Header on their homepage âWhat will you design today? Canva makes it easy to create professional designs and to share or print themâ, which tackles the main concern of users head-on by (1) encouraging them to get started and (2) makes it easy to do so with preloaded templates to spark inspiration.
This approach was so successful that even their main rival, Adobe, has incorporated an almost identical approach for Adobe Express. Any similarity is strictly a coincidence đ¤.
Pricing Strategy: Democratizing Design
A Break from Tradition
Rather than replicating Adobeâs business model of selling licensed software that required downloads and yearly updates, Canva chose a fundamentally different approach: a web-based application with a freemium subscription model. This decision aligned with their vision of simplicity and accessibility, allowing users to experience Canvaâs value immediately, without any upfront cost or installation hassles.
The freemium model served a dual purpose. First, it provided an entry point for students, freelancers, and small businesses to explore the platform risk-free. Second, it introduced premium elementsâstickers, templates, backgrounds, layouts, fonts, and imagesâat an affordable price point. This ensured Canva appealed to budget-conscious users while simultaneously maximizing revenue from businesses and professionals willing to pay for added capabilities.
Hooking Users with Value
Canvaâs product-led growth strategy hinges on its freemium model, which allows users to experience the platformâs core value at no cost. The free plan includes thousands of templates, photos, videos, and design elements, along with collaboration tools, ensuring that users can deeply engage with the platform before encountering any paywalls.
When users are ready to do more, Canva strategically offers clear upgrade triggers to unlock premium features that address common pain points:
Resize: Automatically adjusts a designâs dimensions for different platforms, saving users significant time and effort.
Premium Design Elements: Provides access to thousands of additional templates, animations, and stock photos.
Background Removal: Instantly removes backgrounds from photos, a task that traditionally took hours in other tools.
Brand Kit: Allows teams to maintain consistent branding by uploading fonts, logos, and color palettes.
Social Media Scheduling: Enables users to schedule posts in advance, solving the challenge of posting at peak times.
These premium features are not only highly valuable but also naturally aligned with user workflows, making the decision to upgrade intuitive and compelling.
Execution and Impact
Canvaâs freemium model wasnât just about driving user adoptionâit was about redefining the go-to-market strategy for design software. By embracing a web-first acquisition motion, Canva could:
Experiment Rapidly: The web platform allowed them to test and refine messaging, positioning, new features, and upgrade triggers dynamically.
Remove Barriers: Users could start designing immediately without waiting for installations or updates, reducing friction and accelerating time-to-value.
Shift User Expectations: By demonstrating the power of cloud-based design tools, Canva redefined what users expected from design software, paving the way for industry-wide changes.
This forward-thinking strategy didnât go unnoticed. Just two years later, Adobe responded with its own subscription-based product, Adobe Creative Cloudâa clear acknowledgment of Canvaâs disruptive influence.
In hindsight, Canvaâs pricing strategy was not just a tactical decision but a cornerstone of their broader mission: to make design simple, accessible, and achievable for everyone.
2. Ocean Conditions: Creating a Blue Ocean
When Canva launched, the design software market was dominated by Adobe, which had held a near-monopoly over the professional design segment for decades. However, Canvaâs founders recognized a critical gap: a vast population of non-designers who lacked access to user-friendly, affordable design tools. This underserved audience represented a blue ocean of opportunityâan untapped market space where Canva could thrive without directly competing with Adobeâs entrenched dominance.
Capitalizing on Market Trends
Several concurrent trends amplified this opportunity, creating ideal conditions for Canvaâs success:
The Social Media Boom: Platforms like Facebook, Instagram, and Pinterest were exploding in popularity, driving unprecedented demand for visual content. Small businesses and individuals needed to create eye-catching graphics quickly and affordably to engage audiences online.
Digital Transformation for Small Businesses: More small businesses were moving online, requiring professional-looking websites, marketing materials, and social media posts to maintain credibility and attract customers.
Internal Communication Needs: Organizations of all sizes increasingly sought visually engaging internal communication materials, from slide decks to newsletters, as part of their broader digital transformation.
These trends highlighted a growing demand for design tools that were accessible to everyday usersânot just trained professionals.
Redefining the Market
Rather than competing directly with Adobe by targeting professional designers, Canva redefined the market by creating a new category: "design for everyone."
User Accessibility: Canva removed the barriers of cost, complexity, and intimidation that had long kept non-designers away from professional design software.
Affordability: By offering a freemium pricing model, Canva made high-quality design tools available to users who had previously been priced out of the market.
Ease of Use: With an intuitive drag-and-drop interface and a vast library of pre-made templates, Canva empowered users to create professional-looking content quickly and easily.
This strategy wasnât just about filling a gapâit was about creating a product that met the real-world needs of users who had long been ignored by traditional software providers.
Building a Blue Ocean Advantage
By identifying this blue ocean of non-designers, Canva positioned itself as a disruptor in the design industry. They werenât merely taking market share from Adobe; they were expanding the market by enabling entirely new user segmentsâsocial media managers, small business owners, teachers, and moreâto become creators.
Canvaâs success in navigating these ocean conditions demonstrates the power of identifying and capitalizing on unmet needs. In doing so, they didnât just enter a marketâthey built a new one, setting the stage for the platformâs explosive growth.
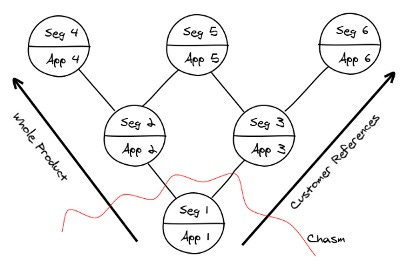
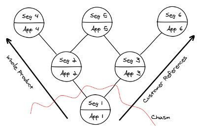
3. Audience: Empowering Non-Designers
Canva's success is largely due to its strategic focus on a specific audience. From the beginning, the platform was designed to meet the needs of a diverse yet interconnected group, including social media managers, content creators, small business owners, marketing teams, teachers, and non-profits. While these groups had different goals, they shared a need for accessible, cost-effective design tools.
Most of Canvaâs target users lacked formal design training, making traditional tools like Photoshop intimidating and complex. They still required visually appealing content for social media, marketing, internal communications, and educational purposes, but budget constraints often limited their options. Many relied on costly freelancers or struggled with DIY solutions. What these users needed was a simple, affordable tool to create high-quality visuals with minimal effort. Canvaâs intuitive interface and vast template library provided just that.
Defining the Beachhead: A Strategic Entry Point
One of Canvaâs smartest moves was focusing on a specific, highly targeted audience segment. Instead of trying to reach too broad a market from the start, Canva targeted social media managers and bloggersâgroups with immediate, recurring needs. Social media managers, in particular, faced a growing demand for visual content, as platforms like Facebook and Instagram emphasized imagery. Canva became a game-changer for them, offering a quick, cost-effective alternative to outsourcing design work or using complex software.
This was a strategic decision. Social media managers were already online, sharing their work with large audiencesâcreating an organic viral mechanism for Canva. Every design shared on social media acted as free advertising, sparking questions like, âHow did you make that?â and attracting new users.
Tailoring the Product to the Audience
Canvaâs success was also driven by its deep understanding of its users' needs. During pre-release testing, it became clear that many non-designers found traditional design tools overwhelming. Canva responded by creating an onboarding process focused on simplicity and accessibility. The platformâs interface was designed to be intuitive, guiding users through basic tasks with small, easy-to-achieve challenges. Pre-made templates alleviated the fear of starting from scratch, while drag-and-drop functionality made it possible to create professional-looking designs without any technical expertise. This approach ensured that even users with no design experience could quickly achieve impressive results.
From Beachhead to Broad Appeal: Leveraging the Bowling Alley Framework
Canvaâs goal was always to democratize design, but its initial focus on social media managers and bloggers follows the âbowling alleyâ framework, which advocates for starting with a well-defined, niche market. By solving a specific problem for this group, Canva gained momentum and used that success to target adjacent segments, one by one, like knocking down pins.
Social media managers and bloggers were the perfect initial audience. They faced a clear needâcreating high-quality, visually appealing content quickly and affordablyâwithout the skills or resources to use traditional tools like Photoshop. Canva provided a timely and transformative solution, addressing a critical pain point. As a result, Canva gained loyal users who became enthusiastic advocates for the platform.
With its initial success, Canva expanded methodically to other market segments. Small business owners, who needed professional-looking marketing materials but couldnât afford a designer, found Canvaâs simplicity and collaborative features a perfect fit. Teachers and non-profits were also drawn to the platform, benefiting from its cost-effective ability to create engaging educational and promotional content.
This strategy was intentional. Each new segment built on the success of the previous one, leveraging shared needs and use cases while introducing the platform to a wider audience.
4. Time to Value: Canvaâs User Experience Obsession
If thereâs one factor that truly sets Canva apart, itâs their relentless focus on delivering exceptional user experience. Canva didnât just build a design toolâthey created a platform that ensures users find value almost immediately. This focus on rapid time-to-value has been central to Canvaâs meteoric growth, attracting and retaining millions of users worldwide.
From signup to activation, it takes users less than two minutes to experience Canvaâs full potential. This lightning-fast time-to-value has been pivotal in driving Canvaâs growth to over 185 million monthly active users in under a decade. For busy professionals, small business owners, and content creators, this efficiency is a game-changer, delivering immediate wins that encourage continued use and engagement.
With a solid understanding of its Market Strategy, the unique Ocean Conditions, its carefully chosen Audience, and its rapid Time to Value, Canva seamlessly transitions from strategy to execution. At the heart of its success lies a masterful Product-Led Growth (PLG) approach, designed to eliminate friction and deliver delight at every stage of the user journey.
Letâs break down how Canva removes barriers at crucial touchpoints, ensuring users experience value almost instantly and remain engaged over the long term:
Frictionless Signup and Activation: Simplify entry for new users with intuitive account creation and quick access to features.
Unlike traditional design software, Canva eliminates common barriers to entry, such as lengthy installations or steep learning curves. Users can access the platform directly through their browser, and the extensive library of pre-made templates, intuitive drag-and-drop functionality, and smart design defaults empower them to create professional designs with ease. This seamless onboarding and activation process ensures users can complete their first design quickly, demonstrating the platformâs value from the very beginning.
Canvaâs sign-up process is great example of their commitment to removing barriers. From the very beginning, Canva leveraged social sign-ins to simplify account creation. Over time, they went a step further by eliminating the need for passwords entirely. Instead, Canva sends users a âmagic linkâ to validate their email and activate their account, removing a tedious step and ensuring users can start designing almost immediately.
This attention to detail extended to the platformâs empty stateâwhat users see before creating their first design. Instead of overwhelming users with options, Canvaâs balanced interface provides clear paths to get started, ensuring that even the least tech-savvy users can navigate the platform with confidence.
Streamlined Onboarding Experience: Guided tutorials and user-friendly templates build confidence and minimize learning curves.
Canva recognized early on that even the most intuitive product needs thoughtful onboarding to unlock its full potential. Many of their target users, especially non-designers, were often overwhelmed by the blank canvas of traditional design tools. Canvaâs response was a seamless onboarding and activation flow that made design both approachable and enjoyable.
From the moment users sign up, Canva introduces its capabilities through clear and actionable CTAs, such as "Design me an image," "Write my first draft," "Resize any image," or "Remove backgrounds." These prompts address usersâ initial hesitations by offering quick wins that build confidence. Additionally, Canva guides users to create specific types of contentâlike presentations, social media posts, or videosâdirecting them to a vast library of templates tailored to their needs. This approach ensures users feel empowered to start creating immediately, reducing friction and accelerating their journey to value.
Templates as Accelerators: Pre-designed options reduce intimidation and help users achieve professional results faster.
One of Canvaâs most effective strategies has been its extensive template library, which set the foundation for its success. At launch, this library featured over a million photographs, fonts, and graphics, providing users with an unparalleled range of ready-made designs. These templates removed the intimidation of starting from a blank canvas, empowering users to dive straight into creating without hesitation. From Instagram posts to business cards, Canvaâs templates catered to diverse needs, ensuring that users could always find a design that matched their goals.
Moreover, Canva addressed specific pain points through its templates. For example, resizing designs for different social media platformsâa tedious process for manyâwas made effortless with Canvaâs automated tools. Similarly, creating polished presentations or marketing materials became a seamless experience, even for users with no prior design skills. By focusing on solving practical use cases, Canva turned what was once a daunting process into an intuitive and enjoyable one.
Hereâs a breakdown of Canvaâs onboarding, activation, and monetization flow.
Early Growth: A Masterclass in Community Engagement and Viral Use Cases
Building on the strategic foundation outlined in the MOAT framework, Canvaâs next challenge was to create momentum and scale its impact. This required a deliberate focus on building a growth engine that transformed first-time users into loyal advocates and enthusiastic promoters.
A Carefully Engineered Growth Engine
Canvaâs onboarding, activation, and monetization flow isnât just a processâitâs a carefully crafted experience that delivers immediate value while reducing friction. By providing clear pathways to unlock advanced features, Canva has created a system that encourages frequent use, organic referrals, and long-term loyalty. This obsession with user experience, combined with speed and simplicity, has been instrumental in Canvaâs evolution into a global design powerhouse.
With its product-led growth strategy firmly in place, Canva turned its attention to amplifying its reach. By leveraging community power, search engine marketing (SEM), search engine optimization (SEO), and viral use cases, the company transitioned early excitement into sustained growth. Letâs explore the key elements of Canvaâs early growth strategy:
Harnessing Community Power
Instead of opting for a traditional public launch, Canva built anticipation through a waitlist system. This approach helped Canva gather 50,000 eager users before its official debut. The waitlist strategy wasnât just about creating buzzâit was a methodical way to refine the product and build a community of engaged early adopters.
Key Elements of the Waitlist Strategy:
Press and Outreach: Founders Melanie Perkins and Cliff Obrecht aggressively pursued press coverage during their seed round, reaching out to blogs, podcasts, and conferences. They offered "early access" to audiences, turning media attention into a tool for user acquisition.
Rewarding Engagement: Canva incentivized users to spread the word. Those who tweeted about Canva often received immediate access, while professional designers could skip the line by emailing the company directly.
Iterative Improvement: The controlled beta allowed Canva to gather feedback from two critical groups:
Designers, who suggested feature enhancements.
Prosumers, who highlighted UX challenges.
This iterative approach ensured the product met user expectations before its public release.
Empowering Creators with the Canva Creators Program
In 2012, Canva launched the Creators Program, a marketplace for designers, photographers, illustrators, and subject matter experts to share their work while earning passive income. This strategy turbocharged Canvaâs growth in several ways:
Converting Opposers into Advocates: Professional designers, who might have viewed Canva as a threat, became collaborators. By offering royalties based on content performance, Canva turned potential critics into enthusiastic advocates, aligning their interests with the platformâs success.
Boosting Content Quality and Quantity: The program unlocked a wealth of creativity, ensuring that Canvaâs template library remained vast and visually stunning. This commitment to high-quality design was evident across every aspect of the platform, from the user interface to the content itself.
Transforming a Cost Center into a Revenue Stream: Instead of relying on an internal design team or hiring freelancers, Canva harnessed the creativity of its community. This reduced costs, enhanced engagement, and increased customer lifetime value.
Focusing on Viral Use Cases
Canvaâs initial go-to-market strategy revolved around use cases with inherent viral potential, particularly in social media design.
Facebook-Centric Approach
In 2013, small businesses relied heavily on Facebook for marketing but struggled with creating professional-looking graphics. Canvaâs easy-to-use templates solved these challenges, making it simple to produce high-quality visuals tailored to Facebookâs formatting requirements.
Collaboration and Sharing
Canvaâs templates encouraged collaboration and sharing. When users invited colleagues to edit or view their designs, it created a natural referral system. Additionally, designs shared on Facebook often sparked questions like, âHow did you make that?â driving organic user acquisition.
Seasonal Campaigns and One-Click Sharing
For its first holiday season, Canva released 30+ digital Christmas card templates, which were widely distributed via Facebook and email. These templates brought users back to the platform, reinforcing Canvaâs value while expanding its reach.
Built for Collaboration
Canva understood from the outset that their target users, particularly social media marketers, rarely worked in isolation. These users often collaborated with clients, agencies, copywriters, and other stakeholders, making seamless teamwork a critical part of the design process.
To address this need, Canva introduced a flawless collaboration experience. Users could share their designs with a simple click and assign user-level permissions such as âview,â âedit,â or âcomment.â This allowed teams to work together efficiently without the need for clunky back-and-forth exchanges over email or other tools.
While such functionality is commonplace today, thanks to platforms like Google Drive and Dropbox, it was a novel feature when Canva launched in 2014. Canvaâs foresight in integrating these collaborative tools not only streamlined workflows but also positioned the platform as a pioneer in simplifying teamwork for non-designers.
Integrated Workflow: A Seamless Experience
In addition to fostering collaboration, Canva became deeply committed to solving the broader workflow challenges faced by social media marketers. These users needed more than just a design toolâthey required an end-to-end solution that enabled them to create, review, and publish content seamlessly from a single platform.
From the very beginning, Canva delivered on this vision by enabling users to publish their designs directly to social media platforms like Facebook, Pinterest, and Twitter (now X đ) without leaving Canva.com. This functionality was transformative, allowing users to streamline their content creation and distribution processes.
Adding to its impact, every post published through Canva included a small but visible âmade with Canva.comâ disclaimer. This subtle branding served as a powerful growth engine, introducing Canva to countless new users who were inspired by the professional quality of the designs they saw.
Collaboration and Workflow as Growth Drivers
By combining collaborative features with an integrated publishing workflow, Canva created a platform that didnât just simplify designâit redefined how social media marketers approached their entire content strategy. The ability to seamlessly collaborate and publish from within Canva not only saved time but also enhanced productivity, making the platform indispensable to its users.
Moreover, these features amplified Canvaâs reach. As designs were shared, edited, and published, Canvaâs footprint expanded organically, leveraging user activity to fuel its growth. This approach exemplifies how understanding and addressing user workflows can drive both engagement and viral adoption.
Content Marketing: Empowering Users Through Education
Canvaâs content marketing strategy has been integral to its growth, focusing on helping users achieve their goals and empowering them through education. At the center of this strategy is the Canva Design School, an extensive library of educational resources covering everything from beginner design principles to advanced techniques.
Collaborating with influential figures like Gary Vaynerchuk, Canva produced exclusive tutorials that were not only educational but also highly engaging. These free resources helped users unlock the full potential of the platform while positioning Canva as a trusted authority in design education.
Beyond the academy, Canva invested heavily in video content, producing thousands of tutorials for platforms like YouTube. These videos catered to specific user needs, such as creating designs for social media posts, presentations, or marketing campaigns. This approach not only attracted new users but also strengthened engagement with existing ones, transforming Canva into an indispensable tool for both novices and professionals.
Canvaâs content efforts also had a significant impact on its organic search performance. Today, Canva ranks for over 3.5 million organic keywords, boasts an authority score of 100, and has accumulated 80 million backlinks pointing to its site. These metrics highlight Canvaâs dominance in organic search and its ability to drive high-quality traffic without relying heavily on paid advertising.
Search Engine Marketing (SEM): Targeting High-Intent Users
Canva complemented its organic content efforts with a focused and effective approach to paid advertising, relying exclusively on Google Search Ads in its early years. Instead of targeting broad, generic keywords, Canva honed in on long-tail, high-intent queries like "how to design a poster" or "how to design a logo."
When users searched for these terms, Canva directed them to tailored landing pages featuring specific templates, such as posters or logos. This seamless experience allowed users to immediately begin designing, showcasing Canvaâs value proposition while reducing barriers to engagement. By prioritizing niche queries with clear user intent, Canva minimized acquisition costs and maximized the return on their ad spend.
This strategy did more than drive conversions; it also fueled Canvaâs organic growth. As users created and shared designs, Canvaâs content began ranking for similar search terms, gradually reducing its reliance on paid channels. Today, only 7% of Canvaâs total site traffic comes from paid sourcesâa testament to the long-term impact of this efficient SEM strategy.
Honoring Time to Value in SEM and Content Marketing Campaigns
True to its commitment to delivering quick wins, Canvaâs SEM and Content Marketing campaigns extended the platformâs obsession with Time to Value. For every high-intent search keyword, Canva developed dedicated landing pages that streamlined the user journey. For instance:
Searching for "design Instagram ads" led users to a landing page showcasing templates for Instagram ads. Selecting a template brought up a âget started for freeâ option, which, upon clicking, allowed users to create an account and immediately begin designing.
Similarly, searching for "how to design Instagram ads" directed users to an informative blog post. This article guided users through the design process while strategically placing CTAs linking to Canvaâs templates. Each click-through maintained the platformâs promise of seamless entry into the design experience.
This meticulous approach removed unnecessary friction, ensuring that every interactionâfrom search to designâaligned with Canvaâs mission to empower users and drive conversions effortlessly.
Beyond Traditional Viral Growth: Strategies to Accelerate Adoption
While Canvaâs organic growth engine was strong, the company knew that sustaining momentum required more than just a great product. To amplify the effects of their flywheel and scale rapidly, Canva implemented "one-to-many broadcasts"âtargeted strategies that acted as turbo boosts, driving accelerated growth and expanding their reach.
Key Growth Accelerators
Influencer Partnerships
Canva partnered with renowned tech influencer Guy Kawasaki, appointing him as their "Chief Evangelist." Kawasakiâs endorsement brought instant credibility to the platform, particularly among early adopters in the tech and design communities. His influence was transformativeâwithin just two months of the partnership, Canvaâs user base tripled.Strategic PR
Founders Melanie Perkins and Cliff Obrecht made strategic public relations a cornerstone of their growth efforts. They actively pursued media coverage in high-profile tech publications like TechCrunch, ensuring Canva remained in the spotlight. This consistent media exposure not only drove awareness but also helped solidify Canvaâs position as an innovative leader in the design space.Viral Marketing Campaigns
Canva created an aspirational launch video that showcased the platformâs vision and potential. Supported by targeted ad spend, the campaign generated buzz and significantly increased brand awareness. The video not only inspired users but also positioned Canva as a forward-thinking and approachable tool for design.Podcast and TV Appearances
The founders leveraged every opportunity to tell the Canva story, appearing on podcasts and TV programs to reach new audiences. These appearances humanized the brand and built a deeper emotional connection with users, further fueling growth.
This strategic mix of influencer marketing, PR, viral campaigns, and media appearances complemented Canvaâs organic growth, allowing the company to achieve remarkable early traction. Within two years, Canva grew to 150,000 users, and over the next eight years, they multiplied that base by nearly 1000 times, cementing their status as a global design powerhouse.
Canvaâs early success with viral use cases and its well-designed growth flywheel provided the foundation for sustained momentum. To capitalize on this strong start and scale even faster, Canva employed targeted growth strategies, including search engine marketing (SEM) and content marketing. These initiatives not only amplified their reach but also deepened user engagement, ensuring Canvaâs growth trajectory remained unstoppable. Letâs dive into how Canva executed these strategies to perfection.
From Viral Use Cases to a Growth Flywheel
By focusing on inherently viral use cases, Canva ensured that every user had the potential to bring in many more, creating a self-reinforcing growth engine. Whether it was a beautifully designed Facebook post or a collaborative project shared with a colleague, Canvaâs user activity naturally sparked curiosity and drove organic adoption.
This strategic approach to community engagement, user education, and viral use cases laid the groundwork for Canvaâs explosive growth. It illustrates how a well-executed product-led growth (PLG) strategy can create a flywheel effect, where each element feeds into the next to generate sustained momentum.
The Canva Flywheel
At the core of Canvaâs success is a growth flywheel that can be distilled into a simple equation:
More Templates + Improved Tools and Features = Higher User Engagement
Higher User Engagement = Increased Product Stickiness + More Shared Designs and Content
More Templates + Improved Tools and Features = Increased Product Stickiness + More Shared Designs and Content
This loop illustrates how Canvaâs investment in templates, resources, and usability directly enhances user satisfaction and drives organic growth. By continuously improving its offerings, Canva sustains its position as an indispensable tool for millions of users.
Conclusion
Canvaâs rise as a global design powerhouse is a masterclass in product-led growth and strategic innovation. By understanding its users, addressing unmet needs, and delivering consistent value, Canva has reshaped an entire industry. Its emphasis on simplicity, affordability, and accessibility, combined with its relentless focus on removing friction, has set a new standard for design platforms. For startups and established companies alike, Canvaâs journey underscores the transformative power of listening to users, fostering community, and continually refining the product experience.
Several key lessons emerge from their story:
The Power of Problem-First Thinking: Canva's success began with a deep understanding of user frustrations with existing design tools. Rather than adding to the complexity of professional software, they reimagined the entire design experience for non-designers.
The Importance of Time to Value: By focusing relentlessly on getting users to their first successful design quickly, Canva built confidence and engagement that led to long-term adoption.
The Value of Strategic Restraint: Canva's ability to maintain simplicity while expanding capabilities demonstrates the importance of strategic focus. They consistently prioritized user needs over feature complexity.
Building Multiple Growth Engines: From their freemium model to their creator marketplace, Canva built multiple reinforcing mechanisms for growth rather than relying on a single channel or tactic.
As Canva continues to evolve, their story provides valuable insights for any company seeking to disrupt established markets through product-led growth. Their blueprint shows that with the right combination of user understanding, strategic clarity, and consistent execution, it's possible to transform not just a product category but an entire industry.